Pumpar diesel
IBECO avloppspumpar är perfekta vid VA-renoveringsarbeten eller för tömning av bassänger på reningsverk. Tillsammans med en CHERNE rörpropp kan man enkelt leda om flödet vid förbipumpning.
Information
- Självsugande
- Torrkörning skadar inte pumpen
- Robust konstruktion
- Vi erbjuder steg 5
- Kan köras på både HVO100 och diesel utan att kompromissa med pumpens prestanda.
Vi erbjuder
- Installation
- Övervakning
- Beredskap
Avloppspumpar
| Art.nr. | Viktkg | Motor | EffektkW | VarvtalRPM | Anslutn. ut/inmm | Genomloppmm | TryckhöjdM | Kapacitetl/sek | Kapacitetl/min | Kapacitetm3/h | 
|---|---|---|---|---|---|---|---|---|---|---|
| S140 | 1750 | Hatz | 23 | 1800 | 100 | 75 | 29 | 50 | 3000 | 180 | 
| S140 | 1750 | CAT | 33 | 2050 | 100 | 75 | 35 | 72 | 4333 | 260 | 
| S150 | 1880 | Izusu | 32 | 1600 | 150 | 100 | 21,3 | 89 | 5340 | 320 | 
| S150T5 | 1768 | Hatz | 42 | 1800 | 150 | 100 | 28 | 92,5 | 5550 | 333 | 
| S150M | 3150 | CAT | 100 | 2000 | 150/200 | 76 | 70 | 200 | 12000 | 730 | 
| S200 | 2450 | Deutz | 55 | 1800 | 200 | 100 | 25 | 122 | 7320 | 440 | 
| BA300KS-D388 | 3600 | Perkins | 90 | 1500 | 300 | 130 | 33 | 305 | 18333 | 1100 | 
Dräneringspumpar
| Art.nr.UTH | Viktkg | EffektkW | VarvtalRPM | Anslutn. ut/inmm | Genomloppmm | TryckhöjdM | Kapacitetl/sek | Kapacitetl/min | Kapacitetm3/h | 
|---|---|---|---|---|---|---|---|---|---|
| D160 | 1892 | 36 | 2200 | 150 | 45 | 48 | 108 | 6500 | 390 | 
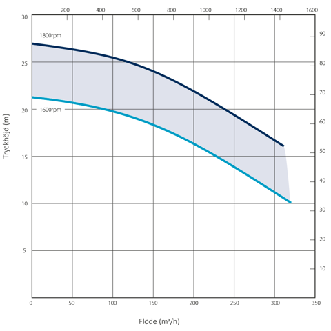
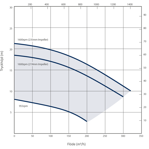
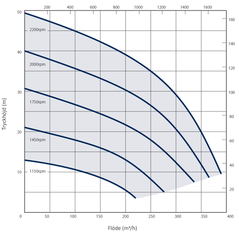
Pumpkurvor
S140
 
        S150T5
 
        S150
 
        S150M
 
        S200 Eco 5
 
        D160
 
         
         
         
         
         
        